【机情无限 精彩毕设】机械2021届毕业设计(论文)中期检查优秀案例分享第十二期
《H2O2助燃下航空燃料着火特性实验与仿真研究》
学生姓名:原宇琦
班学生级:能动2017-01班
指导教师:郑东
毕设题目:H2O2助燃下航空燃料着火特性实验与仿真研究


一、概况
1.选题意义
在高超声速飞行器的超燃冲压发动机中,燃料与空气在燃烧室中停留的时间尺度为毫秒量级,但是燃料的着火与完全燃烧所需时间甚至大于其停留时间。因此,超燃冲压发动机中燃料的可靠点火与稳定燃烧技术成为核心技术问题。因此,研究强化加速航空煤油着火过程,大大缩短其着火延迟时间,具有重要的工程应用价值。
2.任务分解
(1)完成文献调研,了解国内外的研究分析现状
(2)RCM实验系统与Chemkin计算软件学习
(3)H2O2助燃的实验研究,测试点火延迟时间
(4)H2O2助燃的计算研究与分析,包括点火延迟时间、层流燃烧速度、反应灵敏度分析三个部分
(5)整理实验数据与模拟数据,绘制坐标图进行对比分析
(6)撰写毕业论文,完成结题答辩
二、已完成工作
(1)外文文献翻译工作
由于此项目国内研究较少,且相关反应机理文件都刊登在外刊上,于是我在阅读大量英文文献的基础上,挑选了具有代表性的一篇进行了细致的翻译。

(2)Chemkin软件的学习与应用
在指导老师的帮助下,学习了燃烧仿真软件Chemkin19.0,掌握了零维均质模型的点火延迟时间计算方法,也学会了层流燃烧速度的平台搭建,最后能够在后处理中对结果进行反应组分灵敏度分析。

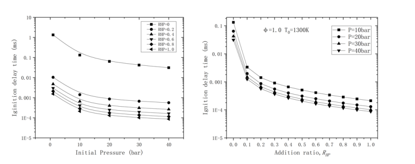
(3)点火延迟时间的计算与分析
通过利用Chemkin19.0零维均质模型,模拟仿真出了在不同初始条件下、不同H2O2添加比例下的点火延迟时间,在后处理中将OH自由基的摩尔分数随时间的变化导出到表格中,同时记录其点火延迟时间,最后整合不同反应条件的数据,对比分析。


(4)毕业论文第一、二章的撰写
在着手做好模拟仿真工作的同时,我也在同步进行毕业论文撰写工作。

三、下一步工作计划


问题一:为什么会考虑到添加H2O2,是因为其分解的氧气造成的助燃效应吗?
回题答:双氧水助燃是因为其自身在参加化学反应的时候,有一步三体反应即H2O2+M=2OH+M(R51),可以大大促进OH自由基的积累从而提前引发热失控造成着火。

在开题答辩到中期答辩的时间里,我不断遇到困难,又不断克服困难,每周的一次汇报工作,督促着我认真完成自己的计划。从一开始面对大量英文文献的无助,到最后完成翻译工作;从最开始软件操作错误百出,到现在能够熟练高效的计算各种情况的数据,除此之外,我又学习了绘图软件的使用,从此叩响了未来科研之路的第一道门。短短一个多月,我向自己证明了“凡有所学,皆有所得。”
通过本次中期答辩,我收获颇丰,在整理答辩资料的同时,帮助我重新理清了研究思路,对未来一个月的工作进行了更加细化的安排。各位评委老师都给出了宝贵的指导意见,我也将按照老师的点评对毕业设计进行相关的优化,也在观看其他同学答辩的同时,我也感受到了在一些问题上与其他同学的差距,在后续的相关学习与研究中,我将能够取其所长,完成更好的毕业答卷。
而优秀的背后是每周定时为我们进行答疑解惑的指导老师--郑东老师,在开题后便询问我软件使用上需不需要指导,同时又在每周的汇报中为我们提出宝贵的指导性意见,及时解决上周的遗留问题,才使我毕业设计进展顺利的同时收获评委老师的赞赏。每一步扎实的路都是自己走出来的,而路的方向是老师所指向的方向。最后,在这里我由衷的对郑东老师表示诚挚的感谢!